Официальное опубликование правовых актов
ОФИЦИАЛЬНОЕ ОПУБЛИКОВАНИЕ
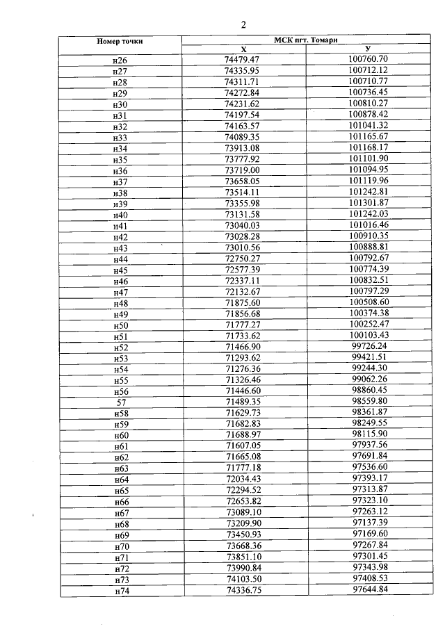
Указ Губернатора Сахалинской области от 20.12.2019 № 67
"Об установлении охранных зон и утверждении положений об охранных зонах памятников природы регионального значения Сахалинской области, расположенных на территории муниципального образования "Томаринский городской округ"
Номер опубликования: 6500201912260003
Дата опубликования: 26.12.2019
Страница №7 из 13:
Увеличить