Официальное опубликование правовых актов
ОФИЦИАЛЬНОЕ ОПУБЛИКОВАНИЕ
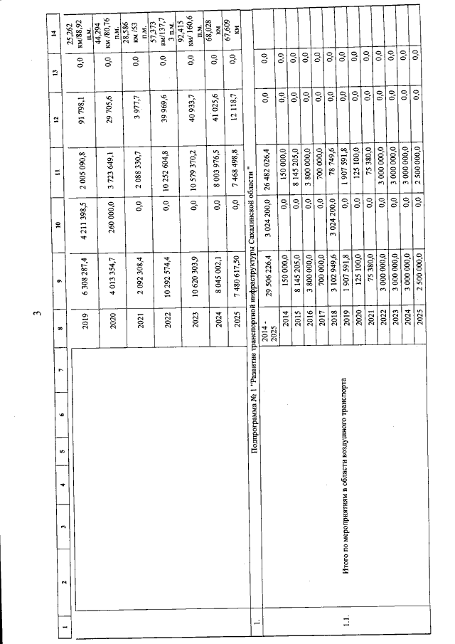
Постановление Правительства Сахалинской области от 03.12.2019 № 542
"О внесении изменений в Государственную программу Сахалинской области "Развитие транспортной инфраструктуры и дорожного хозяйства Сахалинской области"
Номер опубликования: 6500201912100007
Дата опубликования: 10.12.2019
Страница №40 из 201:
Увеличить