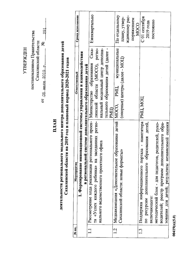
Постановление Правительства Сахалинской области от 05.07.2019 № 291
"О мероприятиях по формированию современных управленческих и организационно-экономических механизмов в системе дополнительного образования детей Сахалинской области в рамках федерального проекта "Успех каждого ребенка" национального проекта "Образование"
"О мероприятиях по формированию современных управленческих и организационно-экономических механизмов в системе дополнительного образования детей Сахалинской области в рамках федерального проекта "Успех каждого ребенка" национального проекта "Образование"
Номер опубликования: 6500201907100003
Дата опубликования:
10.07.2019
