Официальное опубликование правовых актов
ОФИЦИАЛЬНОЕ ОПУБЛИКОВАНИЕ
Указ Губернатора Сахалинской области от 08.02.2019 № 7
"Об утверждении Лесного плана Сахалинской области на 2019 - 2028 годы"
Номер опубликования: 6500201902130006
Дата опубликования: 13.02.2019
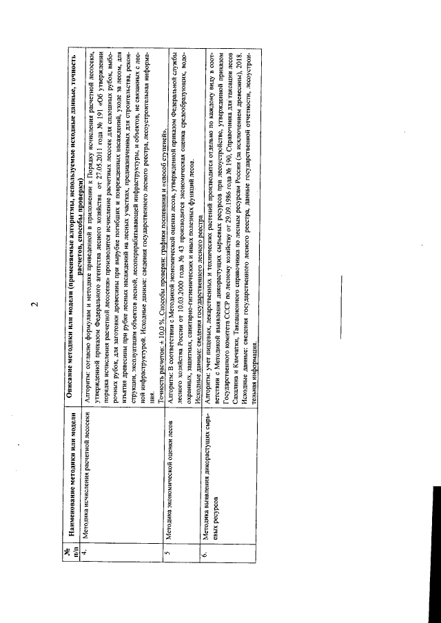
Страница №128 из 244:
Увеличить