Официальное опубликование правовых актов
ОФИЦИАЛЬНОЕ ОПУБЛИКОВАНИЕ
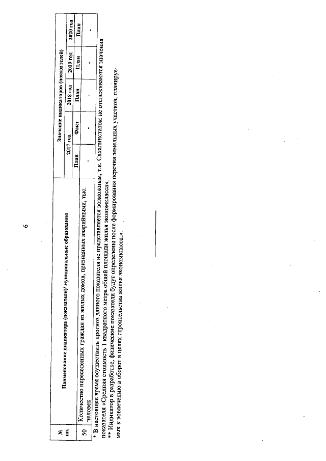
Постановление Правительства Сахалинской области от 29.06.2018 № 308
"О внесении изменений в постановление Правительства Сахалинской области от 06.08.2013 № 428 "Об утверждении государственной программы Сахалинской области "Обеспечение населения Сахалинской области качественным жильем на 2014 - 2020 годы"
Номер опубликования: 6500201807030011
Дата опубликования: 03.07.2018
Страница №97 из 121:
Увеличить