Официальное опубликование правовых актов
ОФИЦИАЛЬНОЕ ОПУБЛИКОВАНИЕ
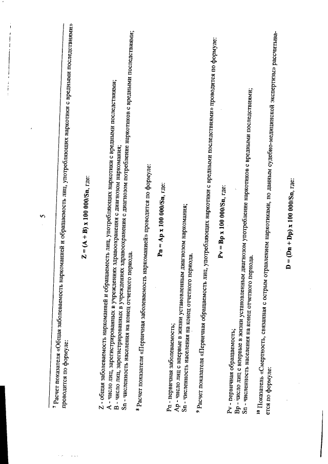
Указ Губернатора Сахалинской области от 14.07.2017 № 23
"Об осуществлении мониторинга наркоситуации в Сахалинской области"
Номер опубликования: 6500201707180002
Дата опубликования: 18.07.2017
Страница №92 из 93:
Увеличить