Официальное опубликование правовых актов
ОФИЦИАЛЬНОЕ ОПУБЛИКОВАНИЕ
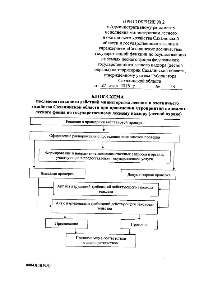
Указ Губернатора Сахалинской области от 27.07.2016 № 44
"Об утверждении Административного регламента исполнения министерством лесного и охотничьего хозяйства Сахалинской области и государственным казенным учреждением "Сахалинские лесничества" государственной функции по осуществлению на землях лесного фонда федерального государственного лесного надзора (лесной охраны) на территории Сахалинской области"
Номер опубликования: 6500201607290005
Дата опубликования: 29.07.2016
Страница №55 из 60:
Увеличить