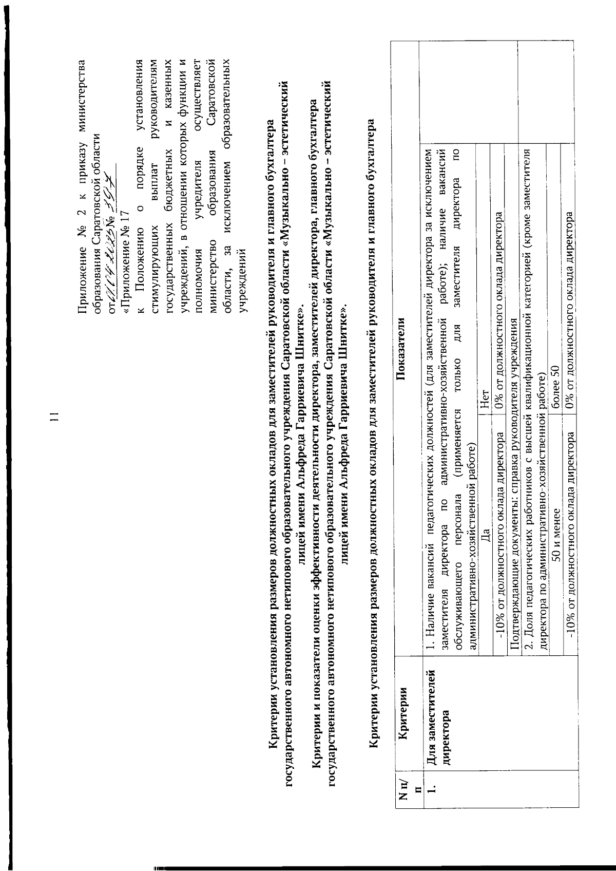
Приказ Министерства образования Саратовской области от 01.04.2025 № 397
"О внесении изменений в приказ министерства образования Саратовской области от 1 апреля 2010 года № 818"
(Зарегистрирован 01.04.2025 № 06-2025-1-556)
"О внесении изменений в приказ министерства образования Саратовской области от 1 апреля 2010 года № 818"
(Зарегистрирован 01.04.2025 № 06-2025-1-556)
Номер опубликования: 6401202504080004
Дата опубликования:
08.04.2025
