Официальное опубликование правовых актов
ОФИЦИАЛЬНОЕ ОПУБЛИКОВАНИЕ
Приказ Комитета культурного наследия Саратовской области от 04.03.2025 № 01-04/90
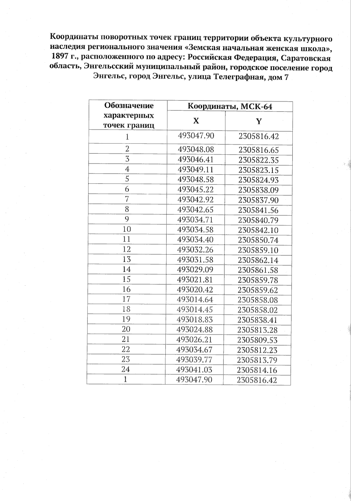
"О включении выявленного объекта культурного наследия по адресу: Саратовская область, Энгельсский район, г. Энгельс, ул. Телеграфная, 9, в единый государственный реестр объектов культурного наследия (памятников истории и культуры) народов Российской Федерации в категории объекта культурного наследия регионального значения, утверждении границ территории, требований к осуществлению деятельности в границах территории объекта культурного наследия и предмета охраны"
(Зарегистрирован 06.03.2025 № 25-2025-1-386)
Номер опубликования: 6401202503130005
Дата опубликования: 13.03.2025
Страница №4 из 15:
Увеличить