Официальное опубликование правовых актов
ОФИЦИАЛЬНОЕ ОПУБЛИКОВАНИЕ
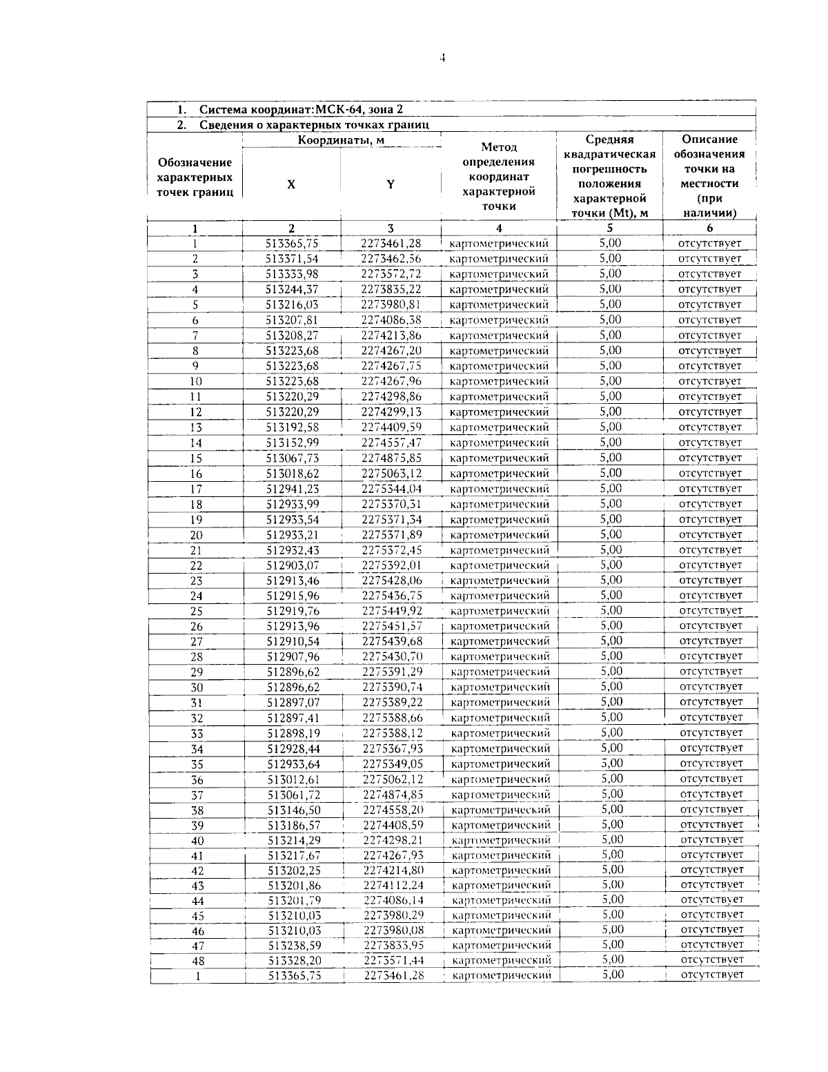
Приказ Министерства природных ресурсов и экологии Саратовской области от 01.11.2023 № 662
"Об утверждении проектной документации по изменению границ земель, на которых расположены леса, указанные в пункте 4 части 1 статьи 114 Лесного кодекса Российской Федерации, на территории Саратовского лесничества Саратовской области"
(Зарегистрирован 02.11.2023 № 13-2023-1-1571)
Номер опубликования: 6401202311090006
Дата опубликования: 09.11.2023
Страница №4 из 9:
Увеличить