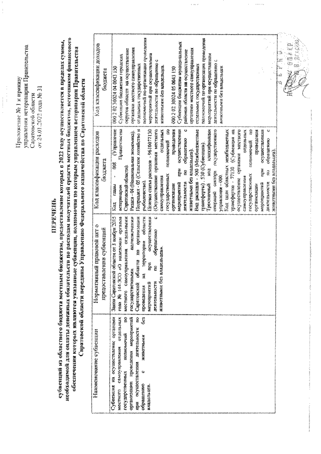
Приказ Управления ветеринарии Саратовской области от 24.01.2022 № 31
"О передаче отдельных полномочий получателя средств областного бюджета"
"О передаче отдельных полномочий получателя средств областного бюджета"
Номер опубликования: 6401202201280006
Дата опубликования:
28.01.2022
