Официальное опубликование правовых актов
ОФИЦИАЛЬНОЕ ОПУБЛИКОВАНИЕ
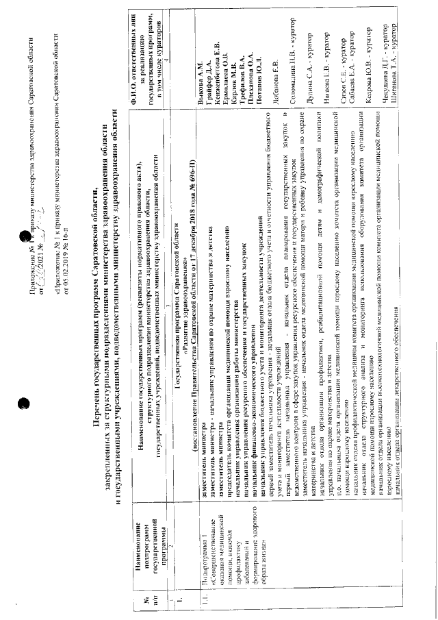
Приказ Министерства здравоохранения Саратовской области от 09.09.2021 № 215-п
"О внесении изменений в приказ министерства здравоохранения Саратовской области от 05.02.2019 № 16-п"
Номер опубликования: 6401202109140006
Дата опубликования: 14.09.2021
Страница №2 из 14:
Увеличить