Официальное опубликование правовых актов
ОФИЦИАЛЬНОЕ ОПУБЛИКОВАНИЕ
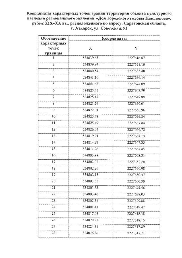
Приказ Управления по охране объектов культурного наследия Саратовской области от 01.06.2021 № 01-04/152
"Об утверждении границ территории и требований к осуществлению деятельности в границах территории объекта культурного наследия регионального значения, расположенного по адресу: Саратовская область, г. Аткарск, ул. Советская, 91"
Номер опубликования: 6401202106080009
Дата опубликования: 08.06.2021
Страница №4 из 5:
Увеличить