Официальное опубликование правовых актов
ОФИЦИАЛЬНОЕ ОПУБЛИКОВАНИЕ
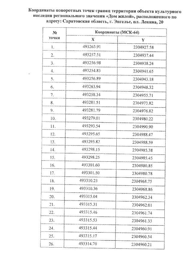
Приказ Управления по охране объектов культурного наследия Саратовской области от 18.12.2020 № 01-04/414
"О включении выявленного объекта культурного наследия по адресу: Саратовская область, г. Энгельс, пл. Ленина, 20/ул. Горького, в единый государственный реестр объектов культурного наследия (памятников истории и культуры) народов Российской Федерации в категории объекта культурного наследия регионального значения, утверждении границ территории, правового режима использования земельных участков в границах территории и предмета охраны"
Номер опубликования: 6401202012240001
Дата опубликования: 24.12.2020
Страница №4 из 13:
Увеличить