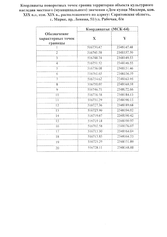
Приказ Управления по охране объектов культурного наследия Саратовской области от 09.11.2020 № 01-04/363
"Об утверждении границ территории и правового режима использования земельных участков в границах территории объекта культурного наследия местного (муниципального) значения, расположенного по адресу: Саратовская область, г. Маркс, пр. Ленина, 51/ул. Рабочая, б/н"
"Об утверждении границ территории и правового режима использования земельных участков в границах территории объекта культурного наследия местного (муниципального) значения, расположенного по адресу: Саратовская область, г. Маркс, пр. Ленина, 51/ул. Рабочая, б/н"
Номер опубликования: 6401202011130002
Дата опубликования:
13.11.2020
