Официальное опубликование правовых актов
ОФИЦИАЛЬНОЕ ОПУБЛИКОВАНИЕ
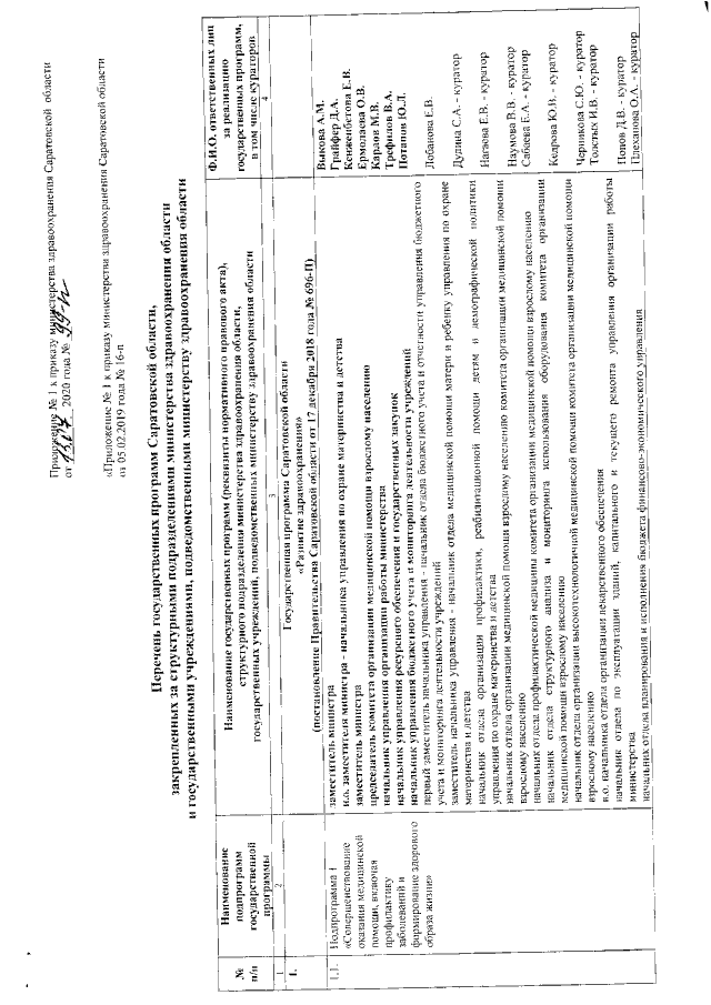
Приказ Министерства здравоохранения Саратовской области от 13.07.2020 № 99-П
"О внесении изменений в приказ министерства здравоохранения Саратовской области от 5 февраля 2019 года № 16-п"
Номер опубликования: 6401202007170004
Дата опубликования: 17.07.2020
Страница №2 из 15:
Увеличить