Официальное опубликование правовых актов
ОФИЦИАЛЬНОЕ ОПУБЛИКОВАНИЕ
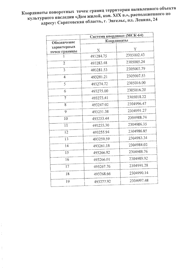
Приказ Управления по охране объектов культурного наследия Саратовской области от 05.06.2020 № 01-04/218
"Об утверждении границ территории выявленного объекта культурного наследия, расположенного по адресу: Саратовская область, г. Энгельс, пл. Ленина, 24"
Номер опубликования: 6401202006110013
Дата опубликования: 11.06.2020
Страница №4 из 5:
Увеличить