Приказ Управления по охране объектов культурного наследия Саратовской области от 06.04.2020 № 01-04/161
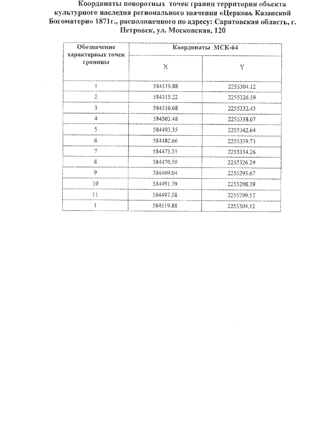
"Об утверждении границ территории объекта культурного наследия регионального значения, расположенного по адресу: Саратовская область, г. Петровск, ул. Московская, 120"
"Об утверждении границ территории объекта культурного наследия регионального значения, расположенного по адресу: Саратовская область, г. Петровск, ул. Московская, 120"
Номер опубликования: 6401202004100001
Дата опубликования:
10.04.2020
