Официальное опубликование правовых актов
ОФИЦИАЛЬНОЕ ОПУБЛИКОВАНИЕ
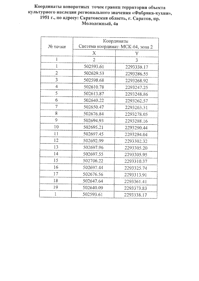
Приказ Управления по охране объектов культурного наследия Саратовской области от 01.04.2020 № 01-04/156
"Об утверждении границ территории объекта культурного наследия регионального значения, расположенного по адресу: г. Саратов, пр. Молодежный, 4а"
Номер опубликования: 6401202004070015
Дата опубликования: 07.04.2020
Страница №3 из 3:
Увеличить