Официальное опубликование правовых актов
ОФИЦИАЛЬНОЕ ОПУБЛИКОВАНИЕ
Приказ Управления по охране объектов культурного наследия Саратовской области от 24.03.2020 № 01-04/129
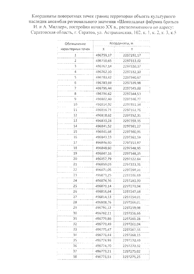
"О включении выявленного объекта культурного наследия по адресу: Саратовская область, г. Саратов, ул. Астраханская, 102, в единый государственный реестр объектов культурного наследия (памятников истории и культуры) народов Российской Федерации в категории объекта культурного наследия регионального значения, утверждении границ территории и предмета охраны"
Номер опубликования: 6401202003300001
Дата опубликования: 30.03.2020
Страница №5 из 18:
Увеличить