Официальное опубликование правовых актов
ОФИЦИАЛЬНОЕ ОПУБЛИКОВАНИЕ
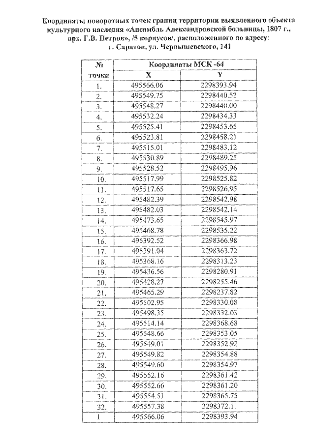
Приказ Управления по охране объектов культурного наследия Саратовской области от 11.03.2020 № 01-04/100
"Об утверждении границ территории выявленного объекта культурного наследия, расположенного по адресу: г. Саратов, ул. Чернышевского, 141"
Номер опубликования: 6401202003190021
Дата опубликования: 19.03.2020
Страница №4 из 4:
Увеличить