Официальное опубликование правовых актов
ОФИЦИАЛЬНОЕ ОПУБЛИКОВАНИЕ
Приказ Управления по охране объектов культурного наследия Саратовской области от 11.03.2020 № 01-04/91
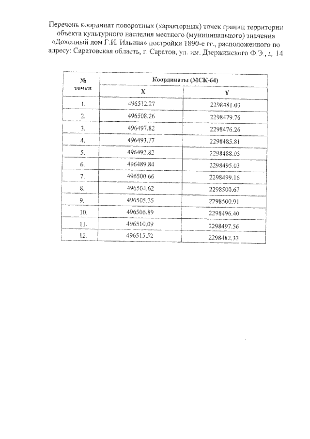
"О включении выявленного объекта культурного наследия по адресу: Саратовская область, г. Саратов, ул. им. Дзержинского Ф.Э., д. 14, в единый государственный реестр объектов культурного наследия (памятников истории и культуры) народов Российской Федерации в категории объекта культурного наследия местного (муниципального) значения, утверждении границ территории и предмета охраны"
Номер опубликования: 6401202003180006
Дата опубликования: 18.03.2020
Страница №4 из 6:
Увеличить