Официальное опубликование правовых актов
ОФИЦИАЛЬНОЕ ОПУБЛИКОВАНИЕ
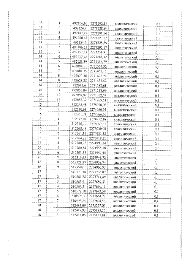
Приказ Министерства природных ресурсов и экологии Саратовской области от 14.02.2020 № 69
"Об утверждении проектной документации по проектированию (изменению) границ лесов, расположенных в лесопарковых зонах, в Саратовском и Вязовском лесничествах Саратовской области"
Номер опубликования: 6401202002210001
Дата опубликования: 21.02.2020
Страница №8 из 35:
Увеличить