Приказ Управления по охране объектов культурного наследия Саратовской области от 10.02.2020 № 01-04/52
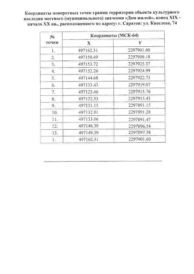
"Об утверждении границ территории объекта культурного наследия местного (муниципального) значения, расположенного по адресу: г. Саратов, ул. Киселева, 74"
"Об утверждении границ территории объекта культурного наследия местного (муниципального) значения, расположенного по адресу: г. Саратов, ул. Киселева, 74"
Номер опубликования: 6401202002130002
Дата опубликования:
13.02.2020
