Приказ Управления по охране объектов культурного наследия Саратовской области от 24.09.2019 № 01-04/100
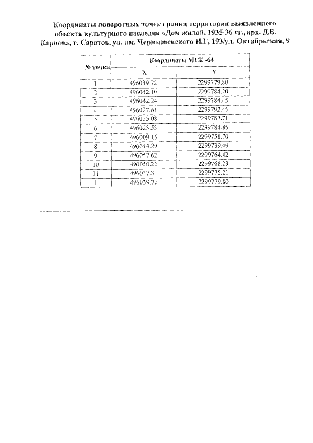
"Об утверждении границ территории выявленного объекта культурного наследия, расположенного по адресу: г. Саратов, ул. им. Чернышевского Н.Г., 193/ул. Октябрьская, 9"
"Об утверждении границ территории выявленного объекта культурного наследия, расположенного по адресу: г. Саратов, ул. им. Чернышевского Н.Г., 193/ул. Октябрьская, 9"
Номер опубликования: 6401201910010008
Дата опубликования:
01.10.2019
