Официальное опубликование правовых актов
ОФИЦИАЛЬНОЕ ОПУБЛИКОВАНИЕ
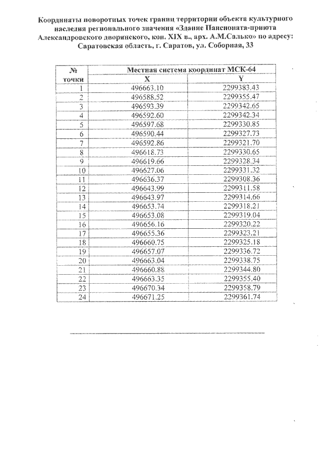
Приказ Управления по охране объектов культурного наследия Саратовской области от 20.06.2019 № 01-04/23
"Об утверждении границ территории объекта культурного наследия регионального значения, расположенного по адресу: Саратовская область, г. Саратов, ул. Соборная, 33"
Номер опубликования: 6401201906240001
Дата опубликования: 24.06.2019
Страница №4 из 4:
Увеличить