Официальное опубликование правовых актов
ОФИЦИАЛЬНОЕ ОПУБЛИКОВАНИЕ
Приказ Министерства транспорта и дорожного хозяйства Саратовской области от 19.04.2019 № 01-01-12/97
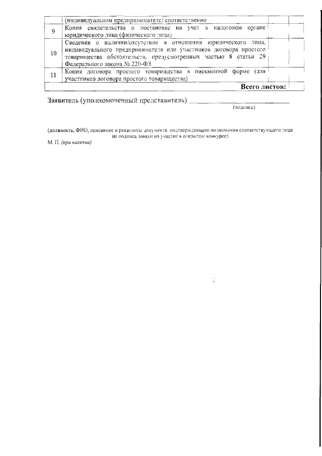
"Об утверждении формы заявки на участие в открытом конкурсе и требования к содержанию данной заявки (в том числе к описанию предложения участника открытого конкурса) на право получения свидетельства об осуществлении перевозок по межмуниципальным маршрутам регулярных перевозок на территории Саратовской области"
Номер опубликования: 6401201904250010
Дата опубликования: 25.04.2019
Страница №9 из 11:
Увеличить