Официальное опубликование правовых актов
ОФИЦИАЛЬНОЕ ОПУБЛИКОВАНИЕ
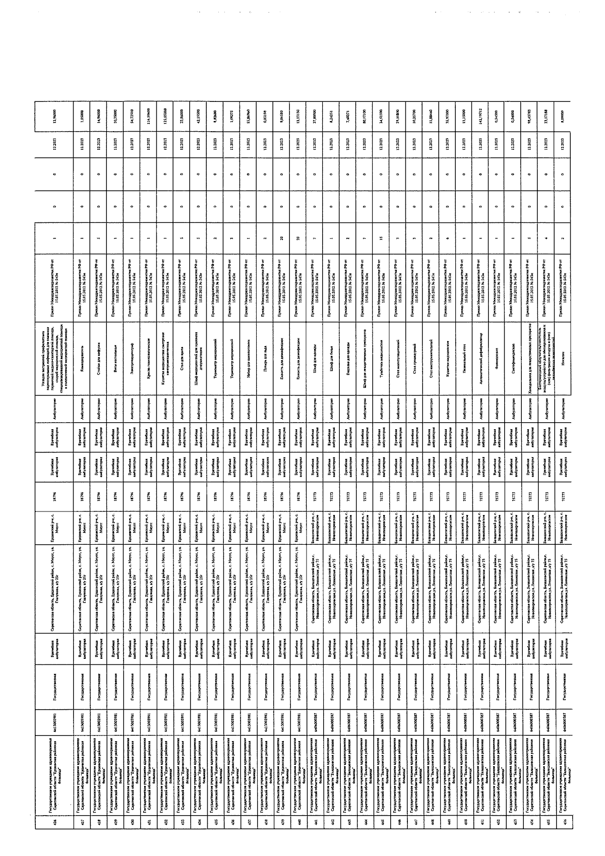
Постановление Правительства Саратовской области от 22.04.2025 № 353-П
"О внесении изменений в региональную программу модернизации первичного звена здравоохранения Саратовской области"
Номер опубликования: 6400202504280004
Дата опубликования: 28.04.2025
Страница №162 из 167:
Увеличить