Официальное опубликование правовых актов
ОФИЦИАЛЬНОЕ ОПУБЛИКОВАНИЕ
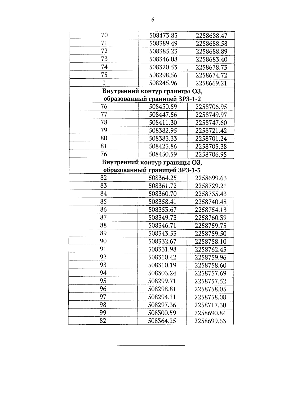
Постановление Правительства Саратовской области от 28.02.2025 № 169-П
"Об утверждении зон охраны объекта культурного наследия регионального значения "Здание, связанное с революционными выступлениями крестьян и студентов в октябре 1905 г.", 1905 г., расположенного по адресу: Саратовская область, Татищевский район, Октябрьский городок, ул. Тимирязева, 1"
Номер опубликования: 6400202503050012
Дата опубликования: 05.03.2025
Страница №8 из 24:
Увеличить