Официальное опубликование правовых актов
ОФИЦИАЛЬНОЕ ОПУБЛИКОВАНИЕ
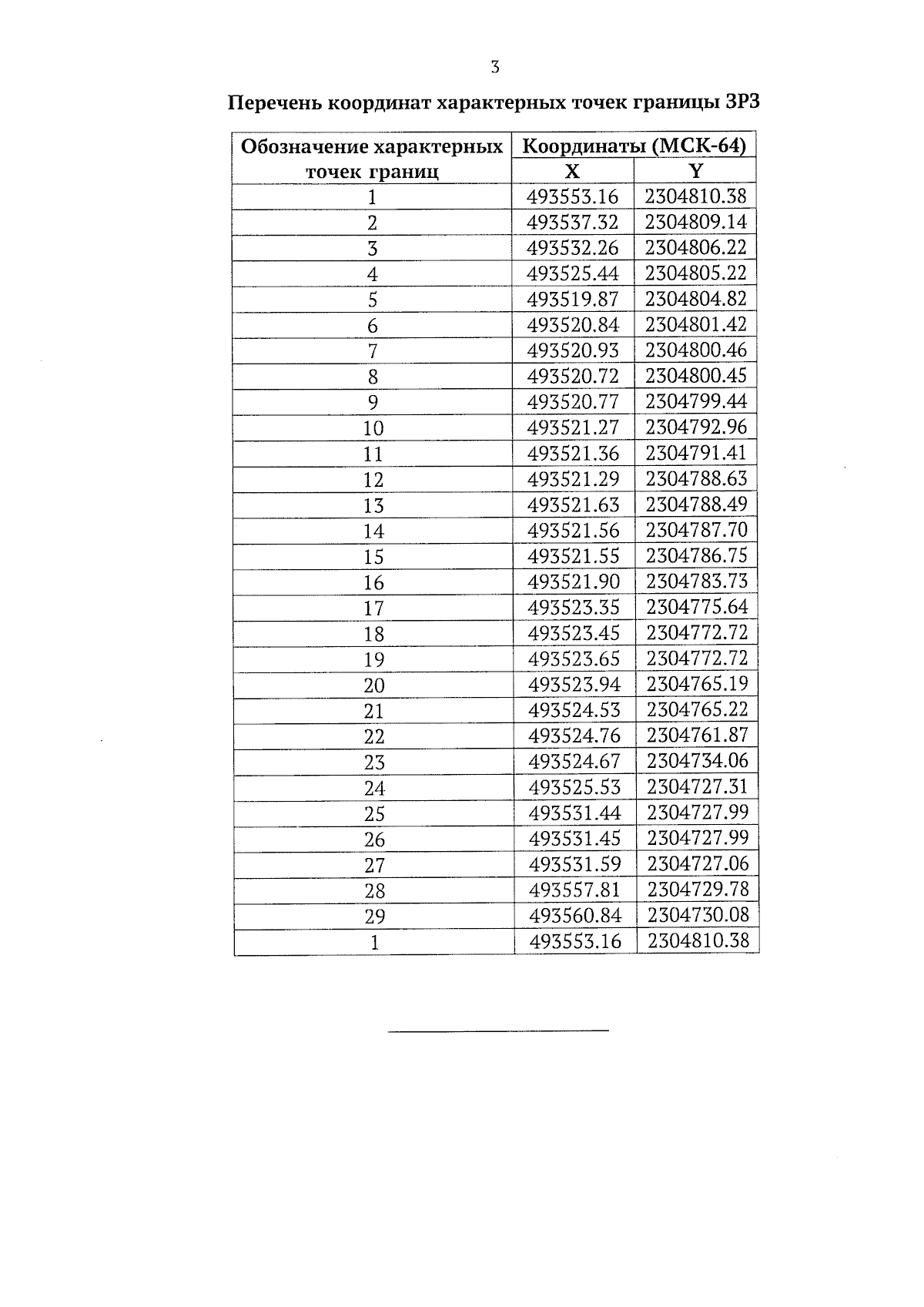
Постановление Правительства Саратовской области от 27.02.2025 № 165-П
"Об утверждении зон охраны объекта культурного наследия регионального значения "Церковно-приходская школа, 1900 г.", 1900 г., расположенного по адресу: Саратовская область, г. Энгельс, ул. Ленина, 1"
Номер опубликования: 6400202503050009
Дата опубликования: 05.03.2025
Страница №11 из 14:
Увеличить