Официальное опубликование правовых актов
ОФИЦИАЛЬНОЕ ОПУБЛИКОВАНИЕ
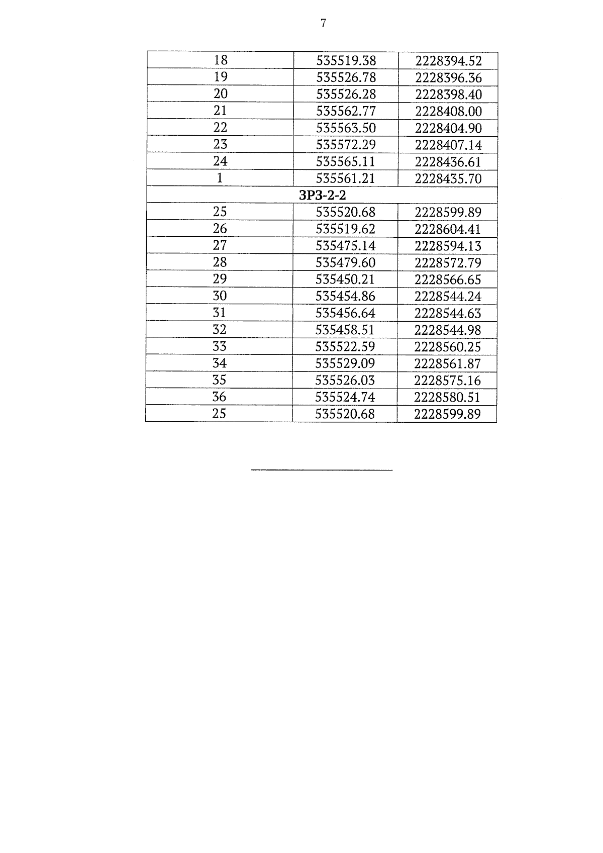
Постановление Правительства Саратовской области от 27.02.2025 № 163-П
"Об утверждении зон охраны объекта культурного наследия регионального значения "Здание вокзала железнодорожного", рубеж XIX-ХХ вв., расположенного по адресу: Саратовская область, г. Аткарск, ул. Чапаева, 110"
Номер опубликования: 6400202503050008
Дата опубликования: 05.03.2025
Страница №17 из 23:
Увеличить