Официальное опубликование правовых актов
ОФИЦИАЛЬНОЕ ОПУБЛИКОВАНИЕ
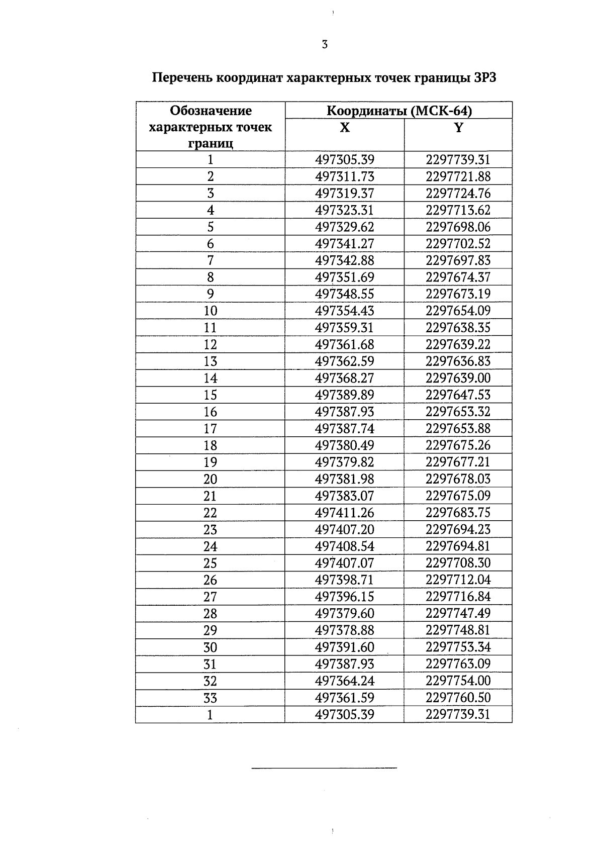
Постановление Правительства Саратовской области от 21.02.2025 № 136-П
"Об утверждении зон охраны объекта культурного наследия регионального значения "Дом для администрации тюрьмы, арх. С.И. Тихомиров", 1900-е г., расположенного по адресу: Саратовская область, г. Саратов, ул. Московская, д. 154б"
Номер опубликования: 6400202502250002
Дата опубликования: 25.02.2025
Страница №11 из 14:
Увеличить