Официальное опубликование правовых актов
ОФИЦИАЛЬНОЕ ОПУБЛИКОВАНИЕ
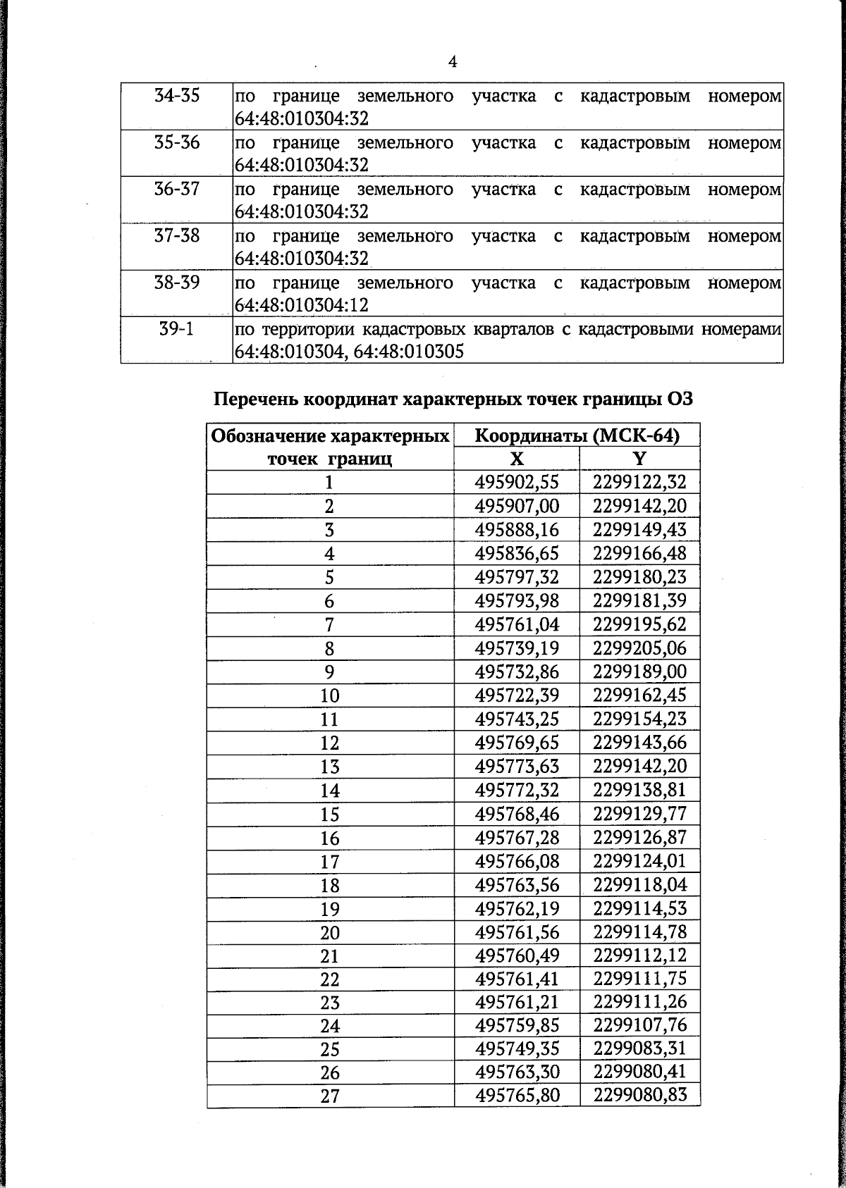
Постановление Правительства Саратовской области от 23.08.2024 № 708-П
"Об утверждении зон охраны объекта культурного наследия местного (муниципального) значения "Доходный дом А.А. Раушенбаха", 1890-гг., расположенного по адресу: Саратовская область, г. Саратов, ул. Соборная, д. 3"
Номер опубликования: 6400202408280004
Дата опубликования: 28.08.2024
Страница №6 из 19:
Увеличить