Официальное опубликование правовых актов
ОФИЦИАЛЬНОЕ ОПУБЛИКОВАНИЕ
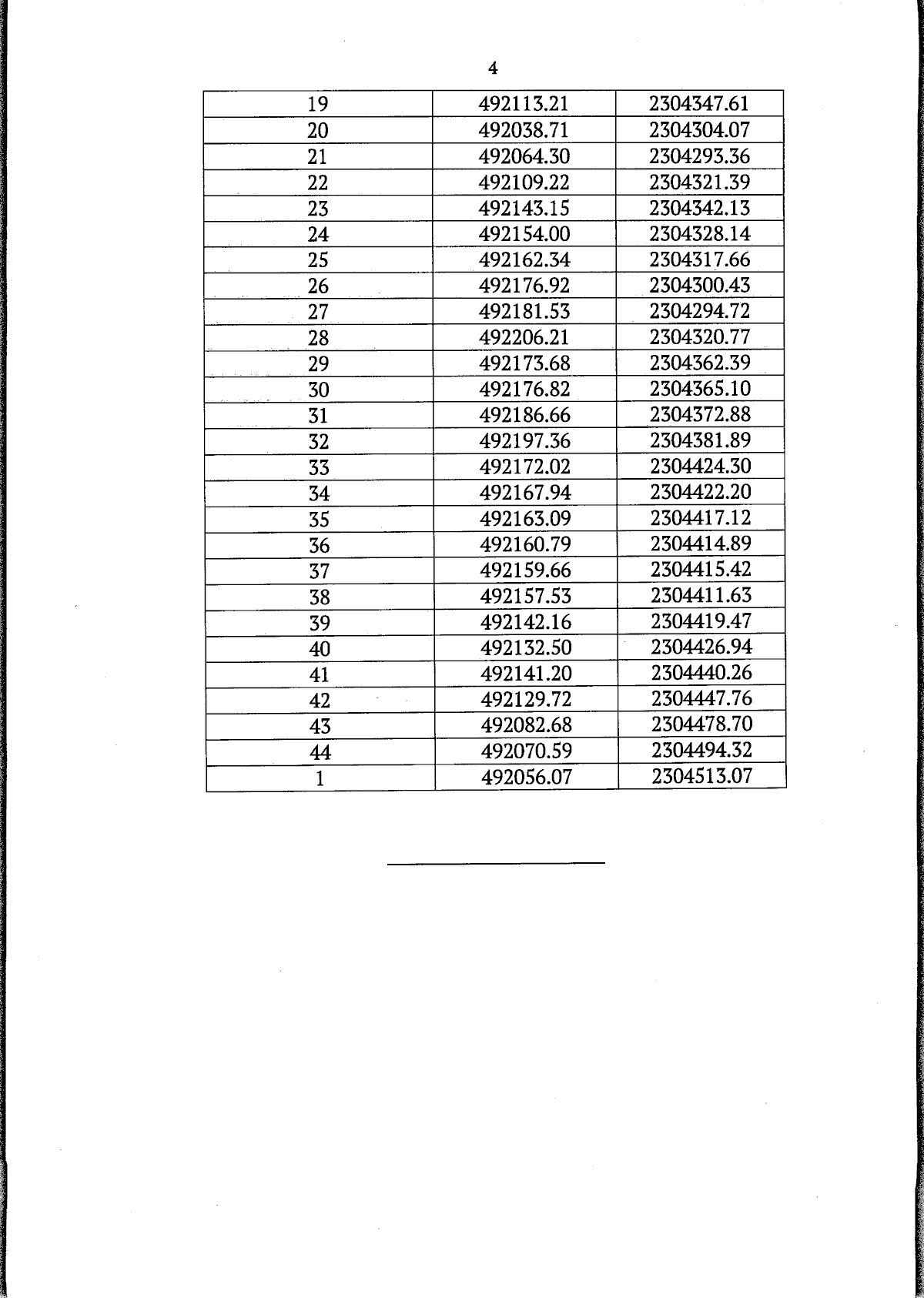
Постановление Правительства Саратовской области от 09.08.2024 № 667-П
"Об утверждении зон охраны объекта культурного наследия регионального значения "Здание, в котором 18–31 марта 1917 г. был образован Покровский Совет рабочих депутатов", 1917 г., расположенного по адресу: Саратовская область, г. Энгельс, ул. Степная, 44"
Номер опубликования: 6400202408130004
Дата опубликования: 13.08.2024
Страница №6 из 18:
Увеличить