Официальное опубликование правовых актов
ОФИЦИАЛЬНОЕ ОПУБЛИКОВАНИЕ
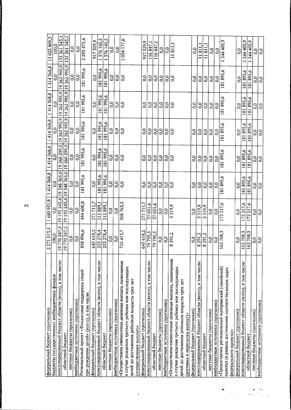
Постановление Правительства Саратовской области от 01.08.2024 № 649-П
"О внесении изменений в государственную программу Саратовской области "Социальная поддержка и социальное обслуживание населения Саратовской области"
Номер опубликования: 6400202408050019
Дата опубликования: 05.08.2024
Страница №3 из 17:
Увеличить