Официальное опубликование правовых актов
ОФИЦИАЛЬНОЕ ОПУБЛИКОВАНИЕ
Постановление Правительства Саратовской области от 17.07.2024 № 611-П
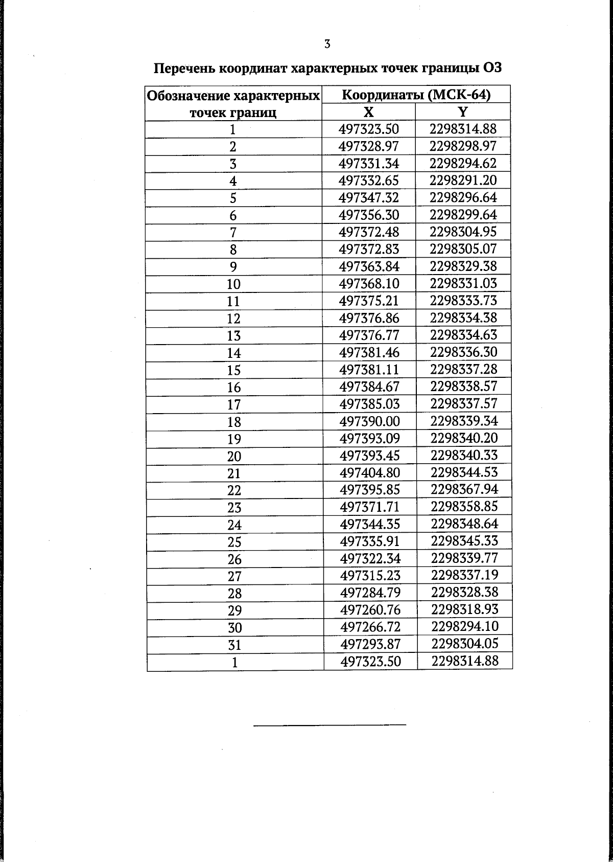
"Об утверждении зон охраны объекта культурного наследия местного (муниципального) значения "Дом жилой", 1880-е гг., расположенного по адресу: Саратовская область, г. Саратов, ул. им. Чапаева В.И., д. 85 (Лит. Аа)"
Номер опубликования: 6400202407230004
Дата опубликования: 23.07.2024
Страница №5 из 13:
Увеличить