Официальное опубликование правовых актов
ОФИЦИАЛЬНОЕ ОПУБЛИКОВАНИЕ
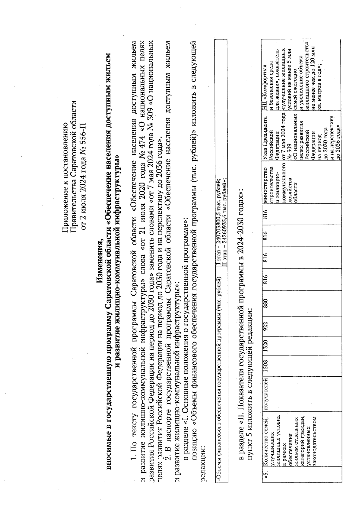
Постановление Правительства Саратовской области от 02.07.2024 № 556-П
"О внесении изменений в государственную программу Саратовской области "Обеспечение населения доступным жильем и развитие жилищно-коммунальной инфраструктуры"
Номер опубликования: 6400202407040003
Дата опубликования: 04.07.2024
Страница №2 из 33:
Увеличить