Официальное опубликование правовых актов
ОФИЦИАЛЬНОЕ ОПУБЛИКОВАНИЕ
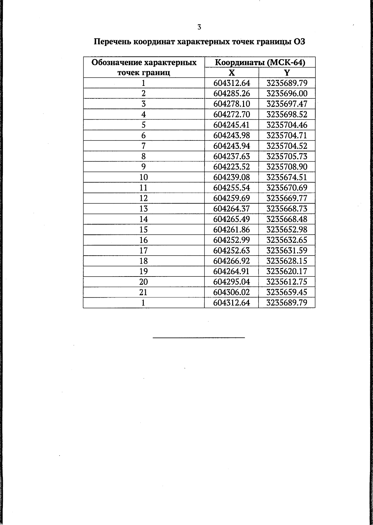
Постановление Правительства Саратовской области от 24.05.2024 № 431-П
"Об утверждении зон охраны объекта культурного наследия регионального значения "Здание Клуба земского", 1860 г., расположенного по адресу: Саратовская область, г. Хвалынск, ул. Российской Республики, 118в"
Номер опубликования: 6400202405300001
Дата опубликования: 30.05.2024
Страница №5 из 14:
Увеличить