Официальное опубликование правовых актов
ОФИЦИАЛЬНОЕ ОПУБЛИКОВАНИЕ
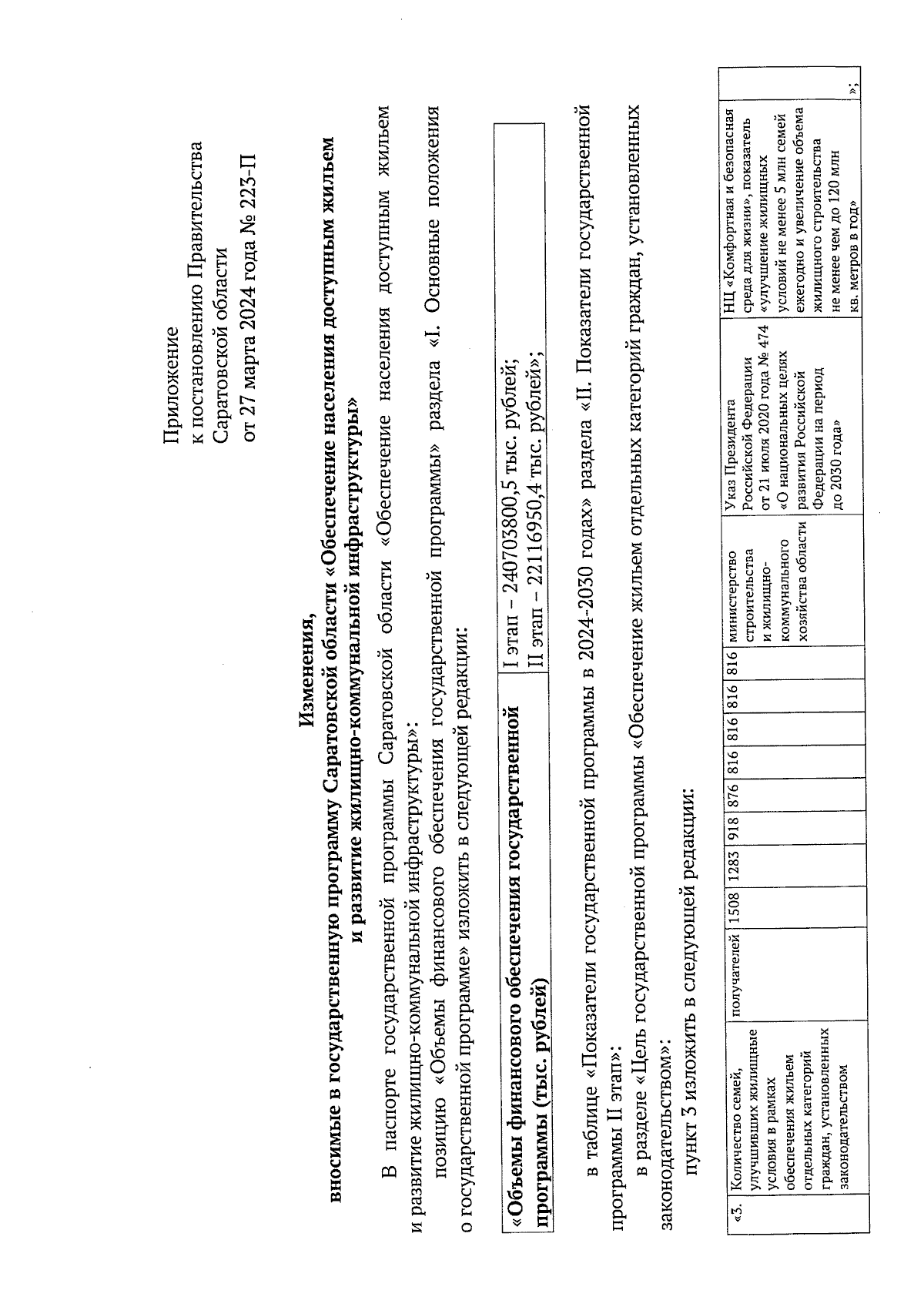
Постановление Правительства Саратовской области от 27.03.2024 № 223-П
"О внесении изменений в государственную программу Саратовской области "Обеспечение населения доступным жильем и развитие жилищно-коммунальной инфраструктуры"
Номер опубликования: 6400202404010004
Дата опубликования: 01.04.2024
Страница №2 из 96:
Увеличить