Официальное опубликование правовых актов
ОФИЦИАЛЬНОЕ ОПУБЛИКОВАНИЕ
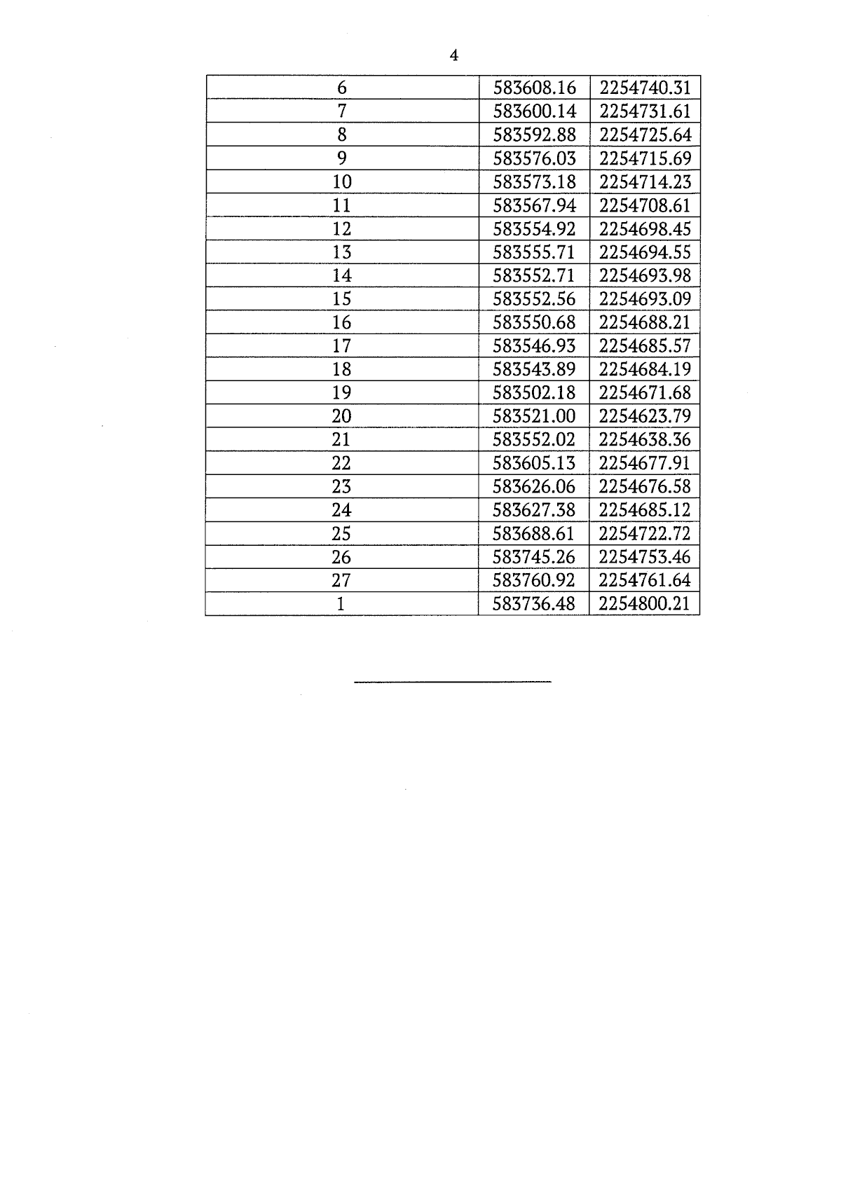
Постановление Правительства Саратовской области от 22.03.2024 № 211-П
"Об утверждении зон охраны объекта культурного наследия регионального значения "Церковь Покрова", 1880 г., расположенного по адресу: Саратовская область, г. Петровск, ул. Панфилова, д. 29, д. 31, д. 33"
Номер опубликования: 6400202403260001
Дата опубликования: 26.03.2024
Страница №17 из 19:
Увеличить