Официальное опубликование правовых актов
ОФИЦИАЛЬНОЕ ОПУБЛИКОВАНИЕ
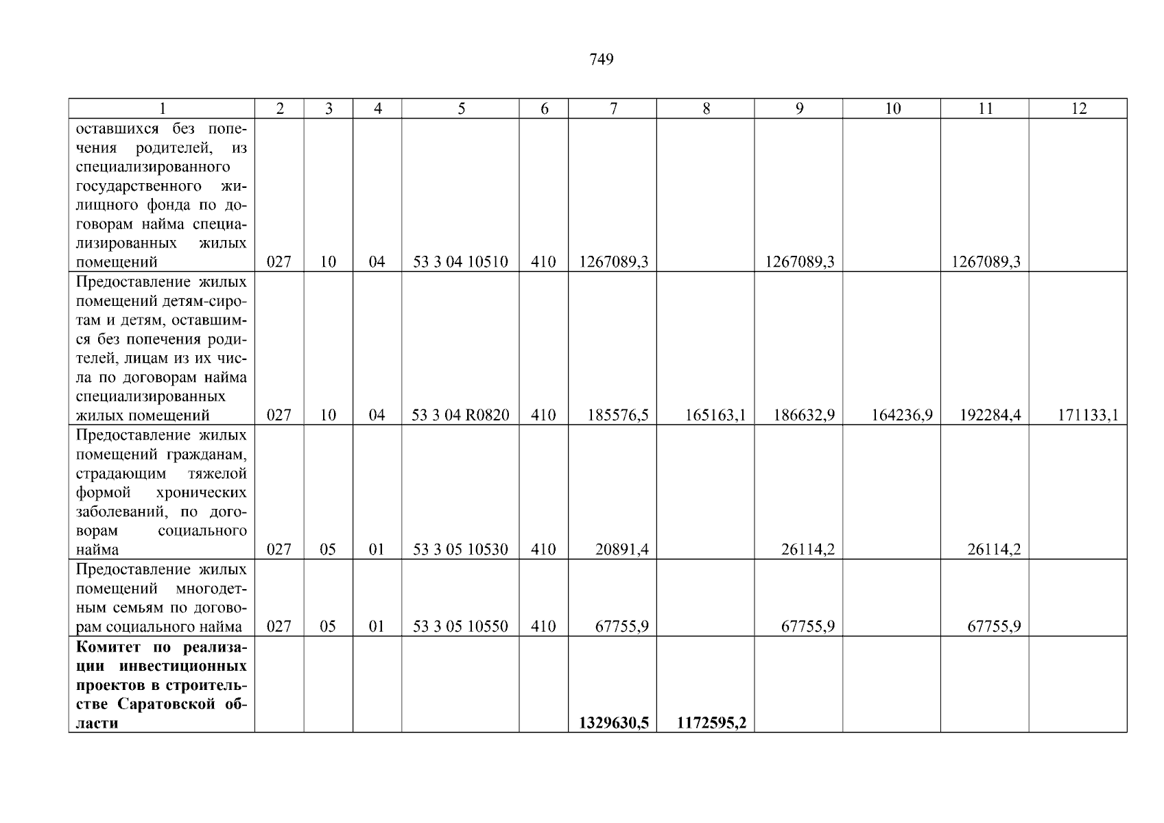
Закон Саратовской области от 11.03.2024 № 22-ЗСО
"О внесении изменений в Закон Саратовской области «Об областном бюджете на 2024 год и на плановый период 2025 и 2026 годов»"
Номер опубликования: 6400202403150001
Дата опубликования: 15.03.2024
Страница №749 из 815:
Увеличить