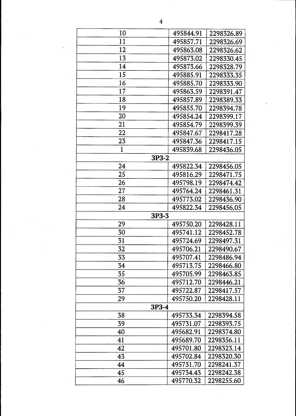
Постановление Правительства Саратовской области от 24.11.2023 № 1104-П
"Об утверждении зон охраны объекта культурного наследия регионального значения "Особняк Шахматова", 1840 г., 1910 г., расположенного по адресу: Саратовская область, г. Саратов, ул. Рабочая, д. 23"
"Об утверждении зон охраны объекта культурного наследия регионального значения "Особняк Шахматова", 1840 г., 1910 г., расположенного по адресу: Саратовская область, г. Саратов, ул. Рабочая, д. 23"
Номер опубликования: 6400202312010007
Дата опубликования:
01.12.2023
