Официальное опубликование правовых актов
ОФИЦИАЛЬНОЕ ОПУБЛИКОВАНИЕ
Постановление Правительства Саратовской области от 20.10.2023 № 953-П
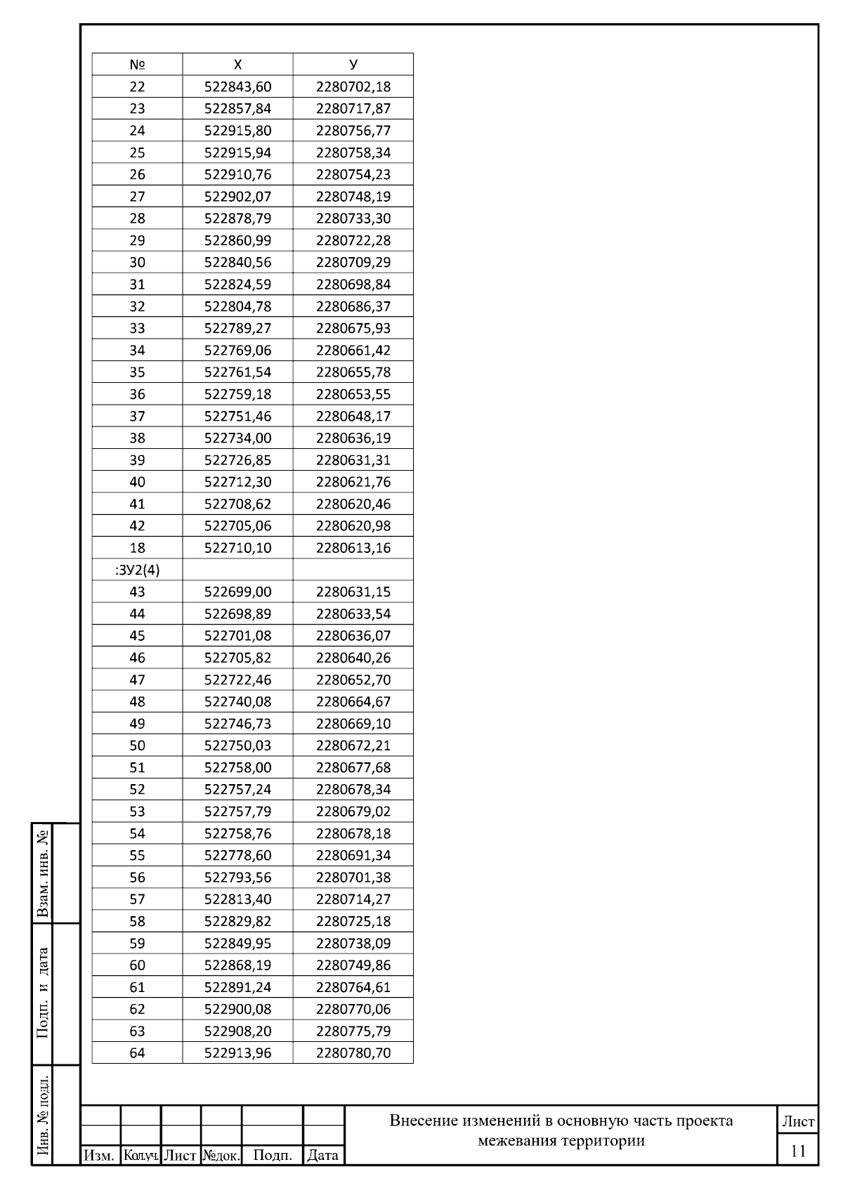
"Об утверждении документации о внесении изменений в документацию по планировке территории в целях реконструкции автоподъезда к с. Вязовка от автомобильной дороги "Р-158 "Нижний Новгород – Арзамас – Саранск – Исса – Пенза – Саратов" на участке моста через р. Чекуриха на км 2+167 в Татищевском районе Саратовской области в части проекта межевания территории"
Номер опубликования: 6400202310250006
Дата опубликования: 25.10.2023
Страница №14 из 65:
Увеличить