Официальное опубликование правовых актов
ОФИЦИАЛЬНОЕ ОПУБЛИКОВАНИЕ
Постановление Правительства Саратовской области от 13.07.2023 № 642-П
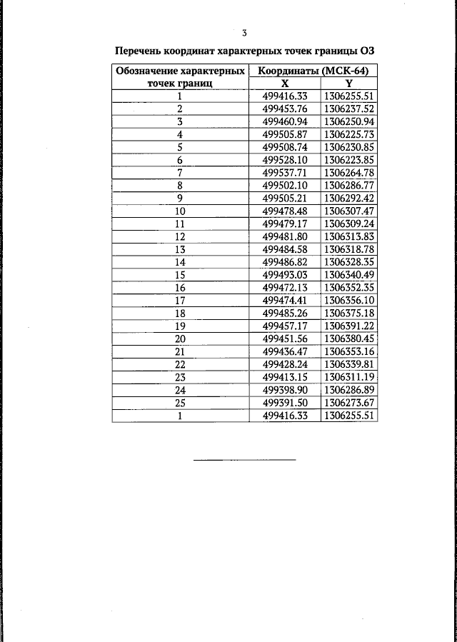
"Об утверждении зон охраны объекта культурного наследия регионального значения "Дом купца Дьякова", конец XIX в., расположенного по адресу: Саратовская область, г. Балашов, ул. Советская, 174"
Номер опубликования: 6400202307180008
Дата опубликования: 18.07.2023
Страница №5 из 13:
Увеличить