Официальное опубликование правовых актов
ОФИЦИАЛЬНОЕ ОПУБЛИКОВАНИЕ
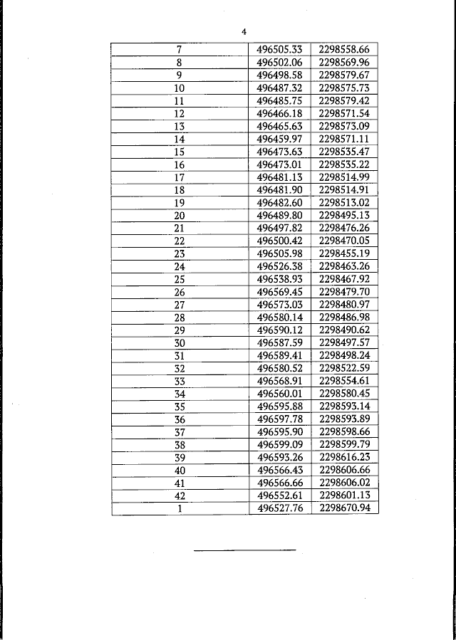
Постановление Правительства Саратовской области от 13.07.2023 № 641-П
"Об утверждении зон охраны объекта культурного наследия регионального значения "Доходный дом Красулина", 1912 г., расположенного по адресу: Саратовская область, г. Саратов, проспект Кирова, 25 (проспект им. Петра Столыпина, 25)"
Номер опубликования: 6400202307180004
Дата опубликования: 18.07.2023
Страница №6 из 16:
Увеличить