Официальное опубликование правовых актов
ОФИЦИАЛЬНОЕ ОПУБЛИКОВАНИЕ
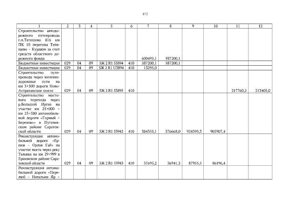
Закон Саратовской области от 25.05.2023 № 48-ЗСО
"О внесении изменений в Закон Саратовской области "Об областном бюджете на 2023 год и на плановый период 2024 и 2025 годов"
Номер опубликования: 6400202305300010
Дата опубликования: 30.05.2023
Страница №872 из 933:
Увеличить