Официальное опубликование правовых актов
ОФИЦИАЛЬНОЕ ОПУБЛИКОВАНИЕ
Постановление Правительства Саратовской области от 03.05.2023 № 386-П
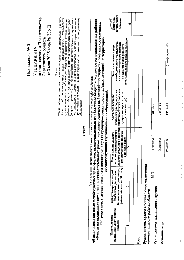
"О выделении средств из резервного фонда Правительства Саратовской области, методике распределения и порядке предоставления из областного бюджета иных межбюджетных трансфертов бюджетам муниципальных районов области на проведение ремонтно-восстановительных работ (текущего ремонта) на бесхозяйных гидротехнических сооружениях, пострадавших в период весеннего половодья, в целях предупреждения чрезвычайных ситуаций на территории соответствующих муниципальных образований"
Номер опубликования: 6400202305050002
Дата опубликования: 05.05.2023
Страница №6 из 6:
Увеличить