Официальное опубликование правовых актов
ОФИЦИАЛЬНОЕ ОПУБЛИКОВАНИЕ
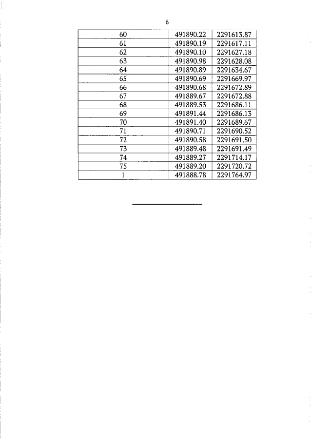
Постановление Правительства Саратовской области от 28.02.2023 № 121-П
"Об утверждении зон охраны объекта культурного наследия местного (муниципального) значения "Детский сад № 100", 1958 г., расположенного по адресу: Саратовская область, г. Саратов, туп. Крымский, 1"
Номер опубликования: 6400202303060010
Дата опубликования: 06.03.2023
Страница №13 из 20:
Увеличить