Официальное опубликование правовых актов
ОФИЦИАЛЬНОЕ ОПУБЛИКОВАНИЕ
Постановление Правительства Саратовской области от 21.12.2022 № 1275-П
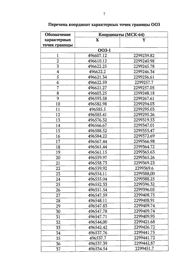
"Об утверждении объединенной зоны охраны объекта культурного наследия федерального значения "Здание 2-й женской гимназии", XIX – нач. ХХ вв., расположенного по адресу: Саратовская область, г. Саратов, ул. Первомайская, 75; объекта культурного наследия регионального значения "Двухэтажное каменное здание. Русский классицизм", конец XVIII века, расположенного по адресу: Саратовская область, г. Саратов, ул. Первомайская, 74А; объекта культурного наследия регионального значения "Здание больницы Грасмик и Бухгольц", ХIХ в., расположенного по адресу: Саратовская область, г. Саратов, ул. Соборная, 23; объекта культурного наследия местного (муниципального) значения "Дом доходный", сер. 1860-х гг., расположенного по адресу: Саратовская область, г. Саратов, ул. Соборная, д. 21; объекта культурного наследия местного (муниципального) значения "Дом актеров", 1951 год, расположенного по адресу: Саратовская область, г. Саратов, ул. им. Е.Ф. Григорьева, д. 53"
Номер опубликования: 6400202212290001
Дата опубликования: 29.12.2022
Страница №10 из 36:
Увеличить