Официальное опубликование правовых актов
ОФИЦИАЛЬНОЕ ОПУБЛИКОВАНИЕ
Постановление Правительства Саратовской области от 25.10.2022 № 1040-П
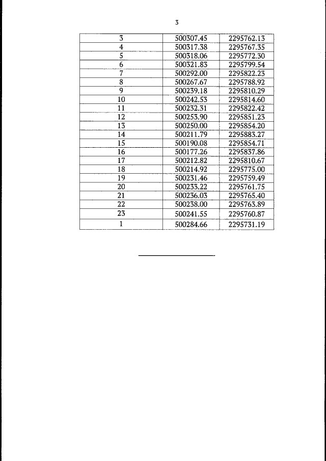
"Об утверждении зон охраны объекта культурного наследия местного (муниципального) значения "Дом жилой, 1950 г.", 1950 г., расположенного по адресу: Саратовская область, г. Саратов, пр. 50 лет Октября, 59"
Номер опубликования: 6400202210270001
Дата опубликования: 27.10.2022
Страница №9 из 11:
Увеличить